硫(S)是植物体内广泛分布的一种重要的大量营养元素,在催化、调节和形态建成方面具有重要的生物功能,但大尺度下的关于S在主要植物器官中的生物地理格局的相关知识仍十分有限。肖春旺教授团队从国家尺度上开展相关研究,揭示了中国典型植物群落不同器官中S的变异、分配及其对环境因子的响应特点。相关研究成果近期以“Spatial variation and allocation of sulfur among major plant organs in China”为题发表在Science of the Total Environment(环境科学与生态学领域Top期刊IF = 10.753)上。论文链接://doi.org/10.1016/j.scitotenv.2022.157155。
S主要以硫酸盐(SO42–)的形式通过根系从土壤中吸收,再被运输到不同器官,参与植物的生理生化活动。功能元素在不同植物器官间的分配规律,与生态系统内植物养分获取策略、物质循环和能量流动等密切相关。因此,调整不同器官间营养元素的异速生长关系(scaling relationship)常被认为是植物适应环境的重要机制。目前在大尺度下,对此进行的大多数研究都集中在大量元素C、N和P或单个器官(如叶或根)。

图1植物不同器官硫含量变异和分配的理论框架和科学假设
植物叶、枝(茎)、干和细根与水分吸收、养分获取和储存以及代谢物运输过程密切相关,可以更好地反映自然界的营养限制,并揭示植物对环境变化的适应机制,因此探索营养元素在多个植物器官中的变异与分配具有非常重要的意义。
功能元素含量是植物的重要功能特性之一,其在植物中的分布差异反映了器官和植物权衡策略之间的协同作用。与枝和干相比,叶和根在植物生长发育过程中更为活跃。代谢更活跃的器官通常分配更多的营养,以维持其功能。因此,植物中S的分配策略之一可能是给更活跃的器官提供更多的S。S的吸收主要由需求驱动,不同器官因功能不同而对S有不同的需求。因此,我们推测S在不同植物器官之间的分配可能并不完全保守。另外,营养元素的获取和分配受气候、土壤条件、植物系统发育和植物生活史策略等的影响。植物器官经历形态或结构变化以适应环境并执行不同的生理功能,这可能导致S含量的变异,反映了其对环境因子响应的差异。

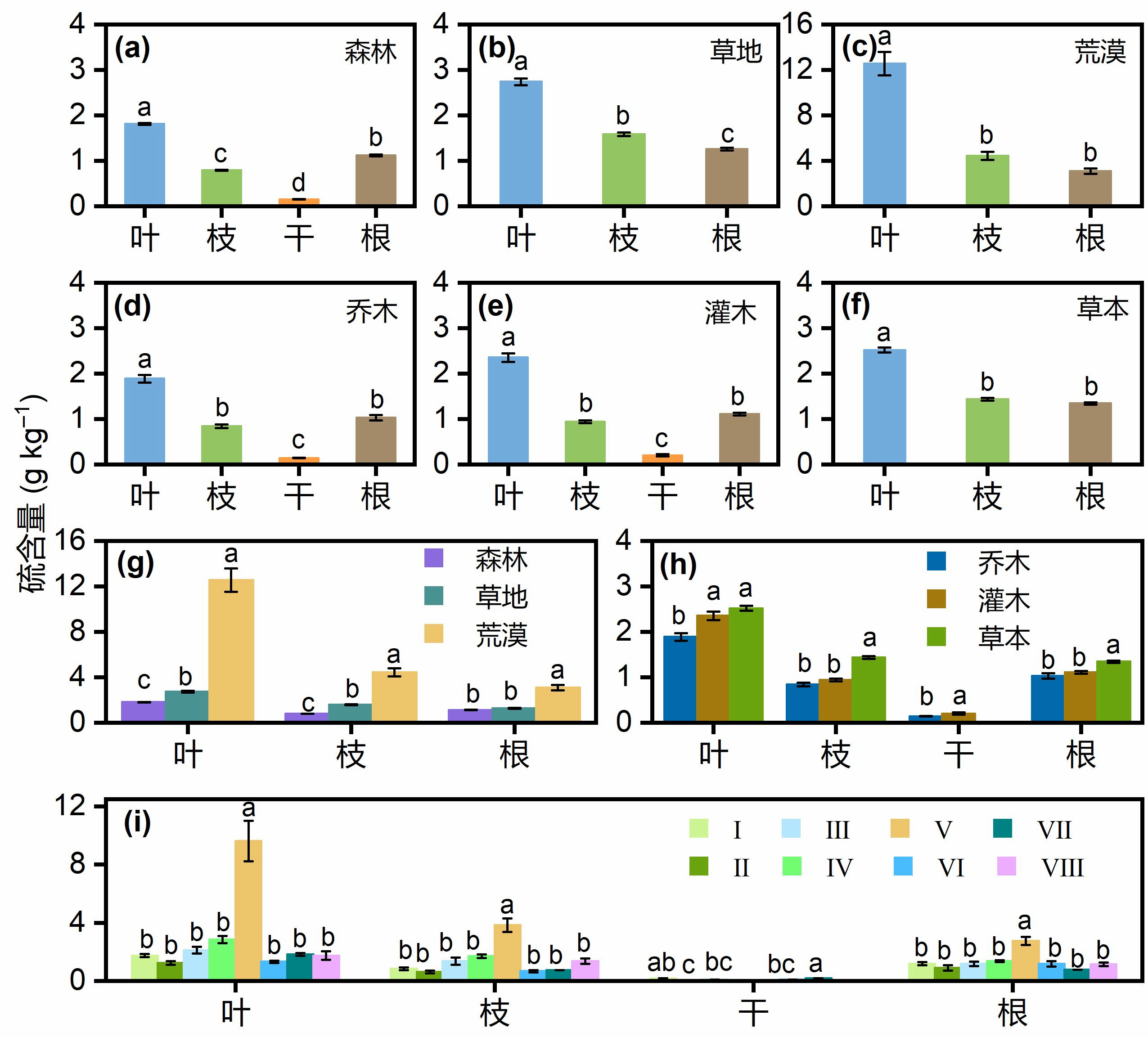
图2本研究中78个采样点的空间分布和不同植被区植物器官中硫含量差异
注:Ⅰ寒温带针叶林区;Ⅱ 温带针叶落叶阔叶混交林区;Ⅲ 暖温带落叶阔叶林区;Ⅳ 亚热带常绿阔叶林区;Ⅴ 热带季风森林和雨林地区;Ⅵ 温带草原区;Ⅶ 温带荒漠区;Ⅷ 青藏高原高寒植被区。下同。
基于以上问题和假设,研究团队对中国78个典型群落中的2745种植物进行了实地调查,构建了一个包含叶、枝、干和根S含量的匹配的数据库。结果表明,中国植物叶、枝、干和根中S的平均含量分别为2.32±0.04、1.13±0.02、0.15±0.01和1.23±0.02 g kg–1。植物中代谢较活跃的器官,如叶片中的S含量显著高于其他器官;而沙漠植物中的S含量高于其在森林和草原植物中的平均水平(图2和3)。另外,研究发现根中S含量变化较其他器官快,在一定程度上反映了在资源有限的情况下根系对S的富集和积累效应更强,与器官的功能密切相关;且不同器官间S的分配关系因尺度大小而异(生态系统、植物生长型等),并不是严格保守的。气候因子和土壤性质因子是调控S在不同器官间的空间变异和分配的主要环境因子,而植物生长型对S变异的影响较弱(图4)。研究结果进一步拓宽了我们对S的生物学功能及其在植物与环境相互作用中的理解,将有助于进一步了解植物的演化和适应机制,及在全球变化背景下的养分利用策略。

图3不同生态系统和植物生长型中不同器官的硫含量差异
注:不同小写字母(a、b和c)表示在P = 0.05水平上差异显著

图4冗余分析揭示影响植物器官硫含量空间变异的因素及其交互效应
飞禽走兽
2019级民族生态学博士生赵文宗为该论文第一作者,飞禽走兽
肖春旺教授和中国科学院地理资源所何念鹏研究员为共同通讯作者,合作作者为地理资源所李明旭助理研究员、徐丽副研究员和李欣博士。民族地区生态环境国家民委重点实验室为第一署名单位。该研究得到国家自然科学基金项目(42071303,31872690)、国家科技基础资源调查专项(2019FY101300)等资助。

肖春旺教授,博士生导师,2017年作为高层次优秀人才从中国科学院植物所引进到飞禽走兽
,现任飞禽走兽
呼伦湖草原生态试验站站长;长期从事全球变化与陆地生态系统关系研究,重点探讨陆地生态系统地下有机碳循环及机制;在New Phytologist, Soil Biology and Biochemistry, Renewable and Sustainable Energy Reviews, Trends in Ecology and Evolution, PNAS, Global Change Biology, Oikos, Tree physiology, Biogeosciences, Science of the Total Environment, Plant and Soil等国内外期刊上发表论文80多篇,主持国家自然科学基金项目、中国科学院知识创新工程重要方向项目课题、科技部国家重点研发计划项目专题等共计15项。